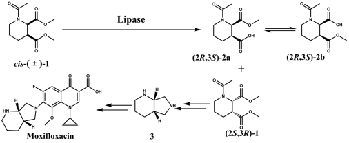
莫西沙星是第四代氟喹诺酮类广谱抗生素,对于细菌感染性疾病具有良好的治疗效果。(S,S)-2,8-二氮杂双环[4.3.0]壬烷是合成莫西沙星的重要手性侧链,具有双手性中心,合成难度大。拜耳公司开发的化学酶法合成工艺,采用商品化脂肪酶Novozym? 435立体选择性拆分外消旋N-乙酰-哌啶-2,3-二甲酸二甲酯(cis-(±)-1),生成(2S,3R)-N-乙酰-哌啶-2,3-二甲酸二甲酯((2S,3R)-1)引入双手性中心(图1)。该工艺拆分步骤选择性好,但是脂肪酶Novozym? 435活性不理想,导致催化剂用量大,催化效率低的问题。开发对拆分cis-(±)-1反应具有高选择性与活性的脂肪酶对莫西沙星手性中间体的绿色制备具有重要意义和应用价值。

图1. 莫西沙星合成路线图
近日,我校生物工程学院郑裕国院士团队柳志强教授课题组借助分子理性设计手段,以
前期筛选获得的高热稳定性和pH稳定性的玉米丝黑穗病真菌来源脂肪酶(SRL)为对象,首先获得一个双突变体SRL-I194N/V195L。随后,确定了位于活性口袋外的loop环上两个关键氨基酸残基L145和L154,获得四位点突变体SRL-I194N/V195L/L145V/L154G (V13),活性显著提高,达到87.8Umg-1,是野生型SRL的2195倍。突变体V13在50°C下的半衰期达到了92.5小时,稳定性好。分子动力学模拟和分子对接分析了SRL四突变体催化活力明显提升的分子基础(图2)。当I194和V195突变为N194和L195后,N194与底物形成氢键,改变并稳定了底物在催化活性口袋的位置,促进亲核进攻效率,提高催化活力。L145和L154突变为V145和G154,减弱了α5螺旋与α10螺旋及194位点所在loop区之间的疏水作用力,增强了α5螺旋与α6螺旋之间的疏水作用力,更有利于稳定盖子结构处于“打开”的状态,增加了催化活力。突变体V13 可在高底物浓度下(1M—2M)下,2h内完成底物的完全拆分,转化率为49.9%,E>200(图3),是目前文献报道的最高水平,具有极高的工业化应用潜力。

图2. SRL突变体与底物对接结果及分析

图3. SRL及其四位点突变体高底物浓度拆分cis-(±)-1反应进程图
相关研究成果以“Efficient Activity Enhancement of a Lipase from Sporisorium reilianum for the Synthesis of a Moxifloxacin Chiral Intermediate via Rational Design”为题,发表于中国工程院创办的工程科技综合性期刊《Engineering》。我校特聘副教授蔡雪为论文第一作者,柳志强教授为论文通讯作者,研究得到了国家重点研发计划项目等项目的支持。
论文信息
Cai Xue, Shen Jiang-Wei, Qiang Yu, Hua Jing, Ma Zhang-Qi, Liu Zhi-Qiang*, Zheng Yu-Guo. Efficient activity enhancement of a lipase from Sporisorium reilianum for the synthesis of a moxifloxacin chiral intermediate via rational design [J]. Engineering, 2022
全文链接
https://doi.org/10.1016/j.eng.2022.03.020